Z6×ðÁú¿­Ê±

¡ª Éú̬ ¡¤ ũҵ ¡¤ ¿µ½¡ ¡ª
ÊÖÒռƻ®
PlantScreenÖ²Îï±íÐͳÉÏñÆÊÎöϵͳӦÓÃÓÚÖÖÖÊ×ÊÔ´¸ßͨÁ¿±íÐͼì²â
ʱ¼ä£º2026-04-02    ×÷ÕߣºZ6×ðÁú¿­Ê± µã»÷Á¿£º

  ÔÚÖÖÖÊ×ÊÔ´¼ì²âÓëÆÀ¹ÀÑо¿ÖУ¬Ö÷ÒªµÄÊÂÇéÊǶÔÖÖ×Ó»îÁ¦¾ÙÐÐ׼ȷÖÜÈ«µÄÆÀ¹À¡£ÖÖ×ÓµÄÉú³¤»îÁ¦Óë¿¹ÄæÄÜÁ¦½«Ö±½Ó¾öÒé×÷ÎïÊÇ·ñÄܹ»Ó¦¶ÔÉú³¤Àú³ÌÖÐÓöµ½µÄÖÖÖÖÇéÐÎвÆÈ£¬²¢×îÖÕ»ñµÃ½Ï¸ßµÄ²úÁ¿¡£

Z6¡¤×ðÁú¿­Ê±¡¸Öйú¡¹¹Ù·½ÍøÕ¾

´ó¶¹ÖÖ×Ó»îÁ¦ÓëÉú³¤Àú³ÌµÄ¹ØÏµ£¨Ebone£¬2020£©

  ÖÖ×Ó»îÁ¦ÆÀ¹ÀÒ»Ñùƽ³£ÊÇͨ¹ýÖÖ×ÓÃÈ·¢ÊµÑéÀ´¼ì²â³éÑ¿ÂÊ¡¢Å߸ù¡¢ÅßÖ᳤¶ÈµÈ¡£Ò»Ñùƽ³£µÄ¹Å°åÒªÁìÐèÒªÈ˹¤¼ÆÊýÀ´ÕÉÁ¿Ó×ÃçºÍÅÌËã³éÑ¿ÂÊ£¬ÊÂÇéÁ¿¼«´ó£¬Ò²ºÜÊǺÄʱ¡£¶ø»ùÓÚ²ÊɫͼÏñÆÊÎöÀ´Ê¶±ð³éÑ¿Ó×ÃçÓÖ±£´æºÜ´óÎó²î¡£¶øÅ߸ù¡¢ÅßÖ᳤¶ÈµÈ»ù´¡ÐÎ̬Êý¾Ý£¬Ò²ÎÞ·¨ÖÜÈ«ÆÀ¹ÀÃÈ·¢ÖÖÃçµÄÉú³¤Ç±ÊƺͿ¹ÄæÄÜÁ¦¡£Òò´Ë£¬ÔÚ½üÄêµÄ×îÐÂÑо¿ÖУ¬º£ÄÚÍâѧÕß°ÑÏȽøµÄÖ²Îï±íÐͳÉÏñÊÖÒÕÒýÈëÖÖ×Ó»îÁ¦ÓëÖÖÖÊ×ÊÔ´¼ì²âÑо¿ÖУ¬È¡µÃÁËһϵÁиüÓÐÓᢸüÖÜÈ«¡¢¸üÓÐÒâÒåµÄÑо¿Ð§¹û¡£

  ÔçÔÚ2012Ä꣬ÒÔFluorCamÒ¶ÂÌËØÓ«¹â³ÉÏñÊÖÒÕΪ»ù´¡£¬PSI¹«Ë¾×îÏÈÑÐÖÆÉú²úPlantScreenÖ²Îï±íÐͳÉÏñÆÊÎöƽ̨¡£¿ª·¢µÄƽ̨¼ÈÓÐÓë¿ÆÑлú¹¹ÏàÖú¡¢Õë¶ÔÄâÄϽæµÈģʽֲÎïµÄ¿ÆÑÐÐͱíÐÍÆ½Ì¨£¬Ò²ÓÐÓë¹ú¼ÊÖÖÒµ¹«Ë¾ÏàÖú¡¢×¨ÃÅÓÃÓÚÓýÖֵıíÐÍÆ½Ì¨¡£´Ó2012ÄêÖÁ½ñ£¬PlantScreenÖ²Îï±íÐͳÉÏñÆÊÎöÊÖÒÕÔÚ¹ú¼Ê±íÐÍ×éѧ¡¢»ùÒò×éѧ¡¢ÒÅ´«ÓýÖÖ¡¢ÐÄÀíÉú̬Ñо¿»ú¹¹ÓëũҵÓýÖÖ¹«Ë¾¶¼»ñµÃÆÕ±éÓ¦Ó᣾­ÓÉÊ®¶àÄ겻иµÄË¢ÐÂÓëÑз¢£¬PlantScreenÖ²Îï±íÐͳÉÏñÊÖÒÕÒѾ­»ñµÃÁËÖ²Îï±íÐÍ×éѧÑо¿ÕߵįձéÈϿɣ¬½ö´óÐÍϵͳƽ̨µÄÈ«Çò×°ÖÃÁ¿¾ÍÁè¼Ý60Ì×£¬²¢½ÒÏþÁË´ó×ÚѧÊõÂÛÎĺͿÆÑÐЧ¹û¡£PlantScreenϵͳͨ¹ýÔ¤Ïë³ÌÐò£¬ÊµÏÖ×Ô¶¯»¯µÄ×÷ÓýÓë±íÐͳÉÏñÕÉÁ¿£¬ÍŽá×Ô¶¯³ÆÖؽ½¹àµ¥Î»£¬ÀíÏëÇéÐÎÏ¿ÉÒÔʵÏÖÖ²ÎïÈ«ÉúÑÄÊ·µÄÎÞÈËÖµÊØ×Ô¾Ù´ëÓýÓëÕÉÁ¿¡£Õâһϵͳ¼È¿ÉÓÃÓÚÕÉÁ¿ÄâÄϽ桢Ñ̲ݵÈģʽֲÎҲ¿ÉÓÃÓÚÕÉÁ¿ÓñÃס¢Ë®µ¾µÈ×÷Î·¬ÇÑ¡¢Éú²Ë¡¢Î÷¹ÏµÈË®¹ûÊ߲ˣ¬ÒÔÖÂËÉÊ÷¡¢ÑîÊ÷¡¢Ò¬×ÓµÈÃçľ¡£ÏÂÃæÎÒÃÇͨ¹ý¼¸¸öÑо¿°¸Àý£¬ÏÈÈÝPlantScreenϵͳÔÚÖÖÖÊ×ÊÔ´ÓëÖÖ×Ó»îÁ¦¸ßͨÁ¿±íÐͼì²â·½ÃæµÄÑо¿°¸Àý£º

Z6¡¤×ðÁú¿­Ê±¡¸Öйú¡¹¹Ù·½ÍøÕ¾

µÂ¹úº¥Ä·»ô×ÈĽÄáºÚÖÐÐÄPlantScreen´«ËÍ´ø°æ¸ßͨÁ¿Ö²Îï±íÐͳÉÏñÆÊÎöϵͳ£¬Í¬Ê±Å䱸Á˰ס¢ºì¡¢À¶ÈýÉ«LED×÷Óý¹âÔ´

°¸ÀýÒ»¡¢Ê¹ÓøßͨÁ¿±íÐͳÉÏñϵͳ¶ÔÄâÄϽæÖÖ×ÓÃÈ·¢ÓëÖÖÃç»îÁ¦¾ÙÐиßͨÁ¿Ò»Á¬¼ì²â

  ºÕ¶ûÐÁ»ù´óѧµÄÑо¿Ö°Ô±ÎªÁËÑо¿Ò»ÖÖеÄABAÏìÓ¦·ºËØE3ÅþÁ¬Ã¸¶ÔÄâÄϽæÖÖ×Ó»îÁ¦µÄÓ°Ï죬Éè¼ÆÁËÒ»¸ö»ùÓÚ¸ßͨÁ¿Ò¶ÂÌËØÓ«¹â³ÉÏñÆÊÎöµÄÃÈ·¢ÊµÑé¡£

  ËûÃÇʹÓõÄÒ»Ì×PlantScreen´«ËÍ´øÊ½±íÐͳÉÏñÆÊÎöϵͳ¿ÉÒÔ×Ô¶¯¶ÔÖ²ÎïÑùÆ·¾ÙÐÐÒ»Á¬×÷ÓýºÍ±íÐͼà²â£¬ºÜÊÇÊÊÓÃÓÚ¾ÙÐиßͨÁ¿µÄÖÖ×ÓÃÈ·¢ÊµÑé¡£ÆäÅ䱸µÄLED¹âÕÕ¿ØÎÂ×÷ÓýÊÒÄܹ»Ä£ÄâÀíÏëµÄ¹âÕÕÓëζÈÌõ¼þ¡£×Ô¶¯´«ËÍϵͳ¿ÉÒÔ°´ÉèÖõÄÐòÁÐ×Ô¶¯ÈÃÑùÆ·´«Ë͵½³ÉÏñÊÒ¡£ÄÚÖõÄFluorCamÒ¶ÂÌËØÓ«¹â³ÉÏñÄ£¿é¿ÉÒÔͨ¹ý¼à²âÖÖ×ÓÃÈ·¢ºó¸ÕÕö¿ª×ÓÒ¶µÄ×î´óÓ«¹âÖµFm£¬ºÜÊÇÓÐÓõØÊ¶±ð³éÑ¿µÄÖÖ×Ó¡£×¨ÓÃµÄÆÊÎöÈí¼þÄܹ»ºÜÈÝÒ׵ؽ«Î´ÃÈ·¢ÖÖ×ÓºÍÅä¾°È¥³ýµô£¬´Ó¶øÊ¹³éÑ¿ÂÊÅÌË㼫Ϊ׼ȷ¡£

Z6¡¤×ðÁú¿­Ê±¡¸Öйú¡¹¹Ù·½ÍøÕ¾ 

 ×óͼ£º¸ßͨÁ¿Ò¶ÂÌËØÓ«¹â³ÉÏñÆÊÎöÊÂÇéÁ÷³Ì£»a.²¥ÖÖ¡¢°²ÅÅÑùÆ·¡¢³ÉÏñÕÉÁ¿¡¢Í¼ÏñÆÊÎö£»b.×î´óÒ¶ÂÌËØÓ«¹âFm³ÉÏñͼµÄÆÊÎöÀú³Ì£»ÓÒͼ£º²î±ð´¦Öóͷ£µÄ³éÑ¿Âʶ¯Ì¬ÇúÏß

  Ò¶ÂÌËØÓ«¹â³ÉÏñͬʱÕÉÁ¿ÃÈ·¢ÖÖÃçµÄÒ¶ÂÌËØÓ«¹â²ÎÊýÈçQY_max×î´ó¹â»¯Ñ§Ð§ÂÊ£¨Fv/Fm£¬¶ÔÖÖÖÖвÆÈ¼«ÎªÃô¸Ð£©¡¢QYÏÖʵ¹â»¯Ñ§Ð§ÂÊ£¨Á¿×Ó²ú¶î£©¡¢NPQ·Ç¹â»¯Ñ§´ãÃð£¨Óë¹âϵͳÈȺÄÉ¢¡¢¹â±£»¤»úÖÆÓйأ©¡¢RfdÓ«¹âË¥¼õ±ÈÂÊ£¨Ò²³ÆÎª»îÁ¦Ö¸Êý£©¡¢¹Ú²ãÃæ»ýµÈ£¬¿É·´Ó¦ÖÖÃç¹âºÏÄÜÁ¦ºÍ¿¹ÄæÄÜÁ¦¡£ÈȳÉÏñµ¥Î»¿ÉÒÔÌṩ¹Ú²ãºÍҶƬζÈÊý¾Ý£¬·´Ó¦Ö²ÎïÕôÌÚ¡¢Ë®·ÖʹÓÃ״̬ÒÔ¼°²¡º¦µÈвÆÈÐÅÏ¢¡£ÕâЩָ±êÒѾ­ÆÕ±éÓÃÓÚÓ×ÃçÉú³¤Ç±ÊÆ¡¢Ö²Öê¿¹ÄæÄÜÁ¦ºÍÉú²úDZÁ¦µÄÆÀ¹À£¬²¢»ñµÃÁË´ó×ÚµÄÑéÖ¤¡£±¾Ñо¿Àֳɽ¨ÉèÁËÒ»¸öÔ½·¢¸ßЧ¡¢¿ÉÀ©Õ¹µÄ¸ßͨÁ¿ÃÈ·¢É¸Ñ¡Æ½Ì¨£¬ÎªÖÖ×Ó»îÁ¦ÆÊÎöÓëÖÖÖÊ×ÊÔ´ÆÀ¹ÀÌṩÁËй¤¾ß¡£

Z6¡¤×ðÁú¿­Ê±¡¸Öйú¡¹¹Ù·½ÍøÕ¾

×󣺷ºËØE3ÅþÁ¬Ã¸ÔÚABA·´Ó¦Í¾¾¶ÖеĹ¦Ð§¼Ù˵£»ÓÒ£º¶ÔÓ¦´¦Öóͷ£µÄ¹Ú²ãÍ¶Ó°Ãæ»ý¡¢¸÷ÏîÒ¶ÂÌËØÓ«¹â²ÎÊý¡¢¹Ú²ãζȵĶ¯Ì¬ÇúÏß

²Î¿¼ÎÄÏ×£º

  1. Pavicic M, Wang F, Mouhu K, et al. High throughput in vitro seed germination screen identified new ABA responsive RING-type ubiquitin E3 ligases in Arabidopsis thaliana[J]. Plant Cell, Tissue and Organ Culture (PCTOC), 2019, 139(3): 563-575.

°¸Àý¶þ£º·¬ÇÑÓ×ÃçÉúÎïÓë·ÇÉúÎïÄæ¾³Ð²ÆÈµÄ±íÐÍÓ¦´ðÑо¿

  1. ʹÓÃÒ¶ÂÌËØÓ«¹âÆÊÎö¶Ô·¬ÇÑÓ×ÃçµÄÂíÁåÊí°ûÄÒÏß³æÑ¬È¾¾ÙÐзÇÇÖÈëÐÔ¡¢Ö¢×´Ç°¼ì²â

ºÉÀ¼Ö²ÎïÉú̬±íÐÍÖÐÐÄ£¨Netherlands Plant Eco-phenotyping Centre£¬NPEC£©ÓɺÉÀ¼ÍߺÕÄþ¸ù´óѧ£¨Wageningen University & Research, WUR£©ÓëÎÚµÃÀÕÖ§´óѧ£¨Utrecht University£© ÅäºÏÏàÖú½¨ÉèºÍÔËÓª£¬×°±¸Á˶àÌײî±ðÐͺŵÄPlantScreenÖ²Îï±íÐͳÉÏñϵͳÓëFluorCamÒ¶ÂÌËØÓ«¹â³ÉÏñϵͳ¡£

Z6¡¤×ðÁú¿­Ê±¡¸Öйú¡¹¹Ù·½ÍøÕ¾

NPEC×°±¸µÄ¶àÌײî±ðÐͺÅPlantScreenÖ²Îï±íÐͳÉÏñÆÊÎöϵͳ£¬¼¯³ÉÓÐÒ¶ÂÌËØÓ«¹â¡¢¶à¹âÆ×Ó«¹â¡¢RGB¡¢¸ß¹âÆ×¡¢ºìÍâÈȳÉÏñ¡¢¼¤¹âÀ×´ïµÈ¶àÖÖ±íÐͳÉÏñ´«¸ÐÆ÷

  ÂíÁåÊí°ûÄÒÏ߳棨PCN£©ÊÇÈ«ÇòÂíÁåÊí²úÇø×î¾ßÆÆËðÐԵIJ¡Ô­Ïß³æÖ®Ò»£¬Ã¿ÄêÔì³ÉÖØ´óµÄ¾­¼ÃËðʧ¡£PCNÔÚÌï¼äµÄÇÖȾͨ³£³Ê“²¡Ôî”×´ÂþÑÜ£¬¼´½öÔÚÄ³Ð©ÇøÓò¼¯Öб¬·¢¡£È»¶ø£¬ÔçÆÚ¡¢¾«×¼µØ¶¨Î»ÕâЩ²¡ÔîºÜÊÇÄÑÌ⣬ÓÉÓڹŰåµÄÍÁÈÀÈ¡ÑùºÍÏß³æÅжÏÒªÁì¼ÈºÄʱÓÖ¼èÐÁ¡£Òò´Ë£¬¿ª·¢Ò»ÖÖ¿ìËÙ¡¢·ÇÆÆËðÐÔ¡¢Ö¢×´Ç°µÄ¼ì²âÊÖÒÕ£¬¹ØÓÚʵÏÖ¾«×¼µÄ¾Ö²¿·À¿Ø¡¢ïÔ̭ũҩʹÓúͽµµÍ¾­¼ÃËðʧ¾ßÓÐÖ÷ÒªÒâÒå¡£±¾Ñо¿Ö¼ÔÚ̽Ë÷Ò¶ÂÌËØÓ«¹âÆÊÎö×÷ΪһÖÖÇ°ÑØµÄÖ²ÎïÐÄÀí¼à²âÊÖÒÕ£¬ÊÇ·ñÄܹ»Í¨¹ý¼ì²âÖ²ÎïµØÉϲ¿¹âºÏϵͳµÄϸ΢ת±ä£¬À´¼ä½Ó¡¢ÔçÆÚµØÕï¶Ï³öµØÏ²¿¸ùϵµÄPCNÇÖȾ¡£

  NPECµÄÑо¿Ö°Ô±½«·¬ÇÑݪֲÓÚPlantScreen¸ßͨÁ¿´«ËÍ´ø±íÐÍϵͳµÄÑùÆ·ÍÐÅÌÖУ¬ÉèÖÃÁË5¸ö²î±ðÌݶȵÄPCN½ÓÖÖÃܶÈ£¬Ê¹ÓÃPlantScreenϵͳµÄFluorCamÒ¶ÂÌËØÓ«¹â³ÉÏñµ¥Î»ÔÚ½ÓÖÖºóÒ»Á¬×Ô¶¯¼à²â26ÌìµÄÒ¶ÂÌËØÓ«¹â¶¯Ì¬³ÉÏñ¡£

Ñо¿·¢Ã÷£¬Ò¶ÂÌËØÓ«¹â²ÎÊý¶ÔPCNÇÖȾµÄÏìÓ¦Ô¶ÔçÓڹŰåÉú³¤Ö¸±ê£º

1£©¼«ÔçÆÚÏìÓ¦£º ÔÚ½ÓÖÖºóµÚ1Ì죬·´Ó¦¹âºÏËÙÂʵÄΦPSIIºÍ¹âºÏϵͳÈȺÄÉ¢µÄNPQ¾Í±¬·¢ÁËÏÔÖø×ª±ä¡£´Ëʱ£¬Ïß³æ¿ÉÄÜÉÐδÇÖÈë¸ùϵ£¬Ñо¿ÕßÍÆ²â¿ÉÄÜÊÇÏß³æÂÑ×Ô¾õ·õ»¯»òÆäÉøÍ¸µÄÌØ¶¨·Ö×Ó£¨Ð§Ó¦×Ó£©´¥·¢ÁËÖ²ÎïµÄÔçÆÚÃâÒß·´Ó¦ËùÖ¡£

2£©¸ßѸËÙ¶È£º ΦPSIIÊǶԵÍˮƽÇÖȾ×îÃô¸ÐµÄÖ¸±ê¡£×ÝÈ»ÔÚ×îµÍ½ÓÖÖÃܶȣ¨5ÂÑ/¿ËÍÁ£©Ï£¬´ÓµÚ1ÌìÆð¾ÍÄܼì²âµ½ÆäϽµ¡£¶øNPQÔòÔÚµÚ1Ìì¶Ô¸ß½ÓÖÖÃܶÈÌåÏÖ³öÏìÓ¦¡£

×î´ó¹â»¯Ñ§Ð§ÂÊFv/Fm¡¢PSIIDZÔÚ»îÐÔFv/F0ÔòÏìÓ¦½ÏÍíÇÒ¶ÔµÍÇÖȾˮƽ²»Ãô¸Ð¡£

±¾Ñо¿ÀÖ³É֤ʵÎú£ºÒ¶ÂÌËØÓ«¹âÆÊÎö£¬ÌØÊâÊÇNPQºÍΦPSIIÕâÁ½¸ö²ÎÊý£¬Äܹ»×÷ΪһÖÖ¼«ÆäѸËٵŤ¾ß£¬ÔÚ·¬ÇÑÓ×Ãç·ºÆðÈκοɼû֢״֮ǰ£¬ÓÐÓüì²â³öµØÏ²¿µÄÂíÁåÊí°ûÄÒÏß³æÇÖȾ¡£

Z6¡¤×ðÁú¿­Ê±¡¸Öйú¡¹¹Ù·½ÍøÕ¾

²î±ðÒ¶ÂÌËØÓ«¹â²ÎÊýËæ³æÂÑÃܶȡ¢ÇÖȾÀú³ÌµÄת±ä

  1. ·¬ÇÑÓ×Ãç¸ÉºµÐ²ÆÈµÄ¾«×¼Ê¶±ð

  Î÷±±Å©ÁֿƼ¼´óѧ¡¢Å©ÒµÅ©´å²¿Å©ÒµÎïÁªÍøÖصãʵÑéÊÒ½èÖúPlantScreen´«ËÍ´øÊ½Ö²Îï±íÐͳÉÏñÆÊÎöϵͳºÍ¸ÉºµÐ²ÆÈ״̬ʶ±ðÄ£×Ó£¬¶Ô·¬ÇÑÓ×ÃçµÄ¸ÉºµÐ²ÆÈ¾ÙÐÐÔçÆÚ¼à²âºÍÆ·¼¶ÅжÏ£¬»ñµÃÁ˽ϸߵÄʶ±ð׼ȷÂÊ¡£

  Ñо¿Ð¡×éÊ×ÏÈʹÓÃPlantScreen´«¶¯´øÖ²Îï±íÐͳÉÏñÆÊÎöϵͳÖеÄFluorCamÒ¶ÂÌËØÓ«¹â³ÉÏñµ¥Î»ÊÕÂÞ²î±ð¸ÉºµÐ²ÆÈˮƽµÄ·¬ÇÑÓ×Ãç¹Ú²ãÒ¶ÂÌËØÓ«¹âͼÏñ¡£Ã¿¸öÑù±¾¾ù»ñÈ¡98·ùÓ«¹âͼÏñ£¬¼´¹²ÓÐ98¸öÒ¶ÂÌËØÓ«¹â²ÎÊý£¬´Ó¶øÕ½Ê¤ÁËÏÖÔڴ󲿷ÖÑо¿Î´Äܳä·ÖʹÓÃÒ¶ÂÌËØÓ«¹â²ÎÊýÐÅÏ¢ºÍδʹÓÃÓ«¹âͼÏñÐÅÏ¢µÄÎÊÌâ¡£ËûÃÇ´ÓÖÐÌáÈ¡ÁË5¸öÃô¸ÐÓ«¹â²ÎÊý²¢Í¨¹ý¶àÖÖËã·¨ÆÊÎöÁËÆäÔÚ²î±ð¸ÉºµÆ·¼¶ÏµÄת±äÇ÷ÊÆ¡£ÊµÑéЧ¹ûÅú×¢£¬Õâ5¸öÓ«¹â²ÎÊý¼°Æä¶ÔÓ¦µÄͼÏñÌØÕ÷¿ÉÓÃÓÚÆÀ¼Û·¬ÇÑÓ×ÃçµÄ¸ÉºµÐ²ÆÈÆ·¼¶£¬²¢¾ßÓÐ½ÏºÃµÄÆÀ¼ÛЧ¹û£¬¶ÔÖ²Îï¸ÉºµÐ²ÆÈµÄÎÞËðÕï¶Ï¾ßÓÐÖ÷ÒªµÄÓ¦ÓÃÔ¶¾°¡£

Z6¡¤×ðÁú¿­Ê±¡¸Öйú¡¹¹Ù·½ÍøÕ¾

×óͼ£º²î±ð¸ÉºµÐ²ÆÈˮƽµÄÒ¶ÂÌËØÓ«¹â³ÉÏñͼºÍÓ«¹â²ÎÊýÏà¹ØÐÔÆÊÎö£»ÓÒͼ£º±¾Ñо¿ÖÐʹÓõÄСÐÍPlantScreen´«ËÍ´ø°æ¸ßͨÁ¿Ö²Îï±íÐͳÉÏñÆÊÎöϵͳ

²Î¿¼ÎÄÏ×£º

  1. van Himbeeck R, Binnebösz E L, Amora D, et al. Noninvasive, Presymptomatic Detection of Potato Cyst Nematode Infection in Tomato Using Chlorophyll Fluorescence Analysis[J]. Phytopathology, 2025, 115(1): 77-84.
  2. Long Y, Ma M. Recognition of drought stress state of tomato seedling based on chlorophyll fluorescence imaging[J]. Ieee Access, 2022, 10: 48633-48642.

°¸ÀýÈý£ºÁÖľÓ×Ãç»îÁ¦Óë¿¹ÄæÐԵıíÐͼì²â¼Æ»®

  1. ÔÆÉ¼Ó×Ãç¸ÉºµÏìÓ¦µÄ¸ßͨÁ¿±íÐͳÉÏñÆÀ¹À

  ³ýÁËģʽֲÎï¡¢Ê߲ˡ¢×÷ÎïµÈ£¬ÔÚ½üÄêµÄ×îÐÂÑо¿ÖУ¬¸ßͨÁ¿±íÐͳÉÏñÊÖÒÕÒ²×îÏÈÓ¦ÓÃÓÚÁÖľÓ×ÃçµÄ»îÁ¦ÆÀ¹ÀÓë¿¹ÄæÑо¿¡£

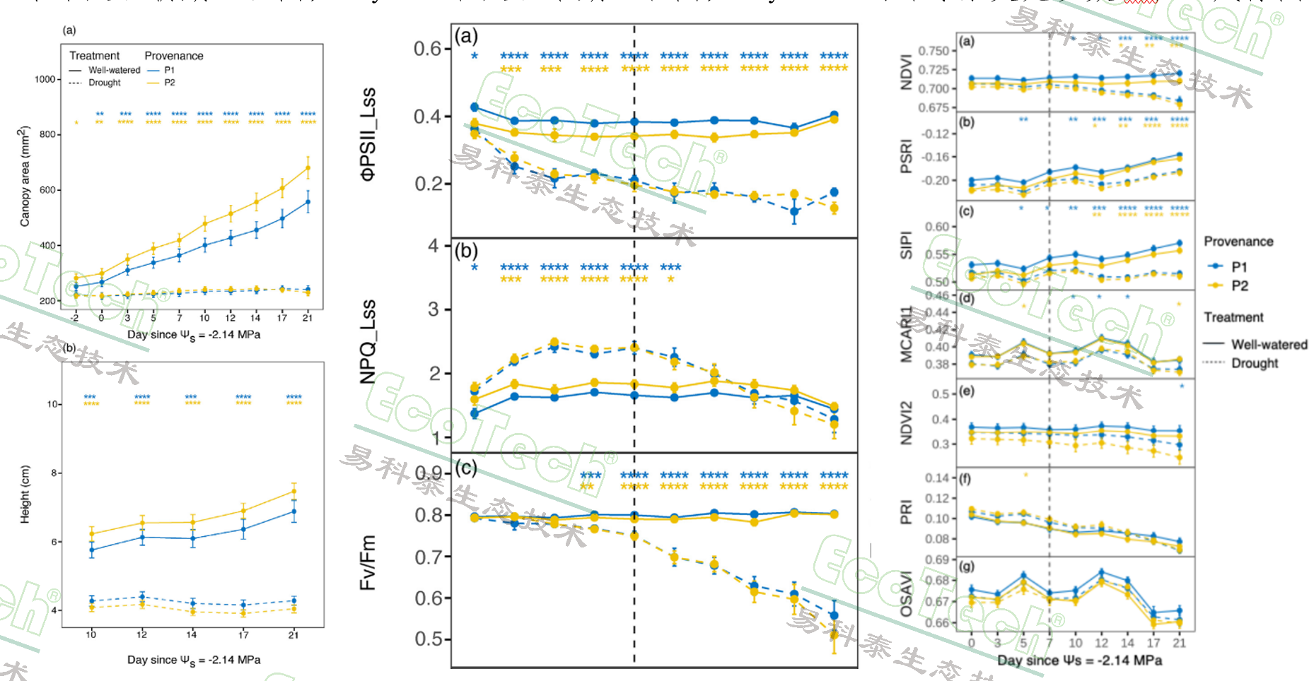
  ŲÍþÔÆÉ¼£¨Picea abies£©×÷ΪŷÖÞÂþÑÜ×î¹ãµÄÕëÒ¶Ê÷ÖÖÖ®Ò»£¬¶Ô¸Éºµ¸ß¶ÈÃô¸Ð¡£°ÂµØÀûÉ­ÁÖÑо¿ÖÐÐĵÄÑо¿Ö°Ô±½«Á½¸öÌìÆø²î±ðÏÔ×ŵÄÔÆÉ¼ÖÖÔ´£¨P1£ºÀ´×Խϸߺ£°Î£¬ÌìÆø½ÏÀäʪ£»P2£ºÀ´×Խϵͺ£°Î£¬ÌìÆø½Ïů¸É£©¾ÙÐиɺµ´¦Öóͷ£ºó£¬Ê¹ÓÃÒ»Ì×PlantScreen´«ËÍ´øÊ½±íÐͳÉÏñÆÊÎöϵͳ¶ÔÓ×Ãç¾ÙÐÐÁËRGB ³ÉÏñ¡¢Ò¶ÂÌËØÓ«¹â³ÉÏñ¡¢¸ß¹âÆ×³ÉÏñ£¨VNIR + SWIR£©¡¢3D ¼¤¹âɨÃèµÈ¸ßͨÁ¿±íÐͳÉÏñÆÊÎö£¬¹²ÌáÈ¡ 56 ¸öÓëÉú³¤ÐÎ̬¡¢¹âºÏ¡¢Ë®·Ö״̬¡¢Ö²±»Ö¸ÊýÏà¹ØµÄ±íÐͲÎÊý¡£

  Ч¹ûÅú×¢£¬ÔڸɺµÔçÆÚ£¬ÔÆÉ¼Æø¿×¹Ø±Õ¡¢NPQ ÔöÇ¿¡¢¿¹Ñõ»¯ÎïÖÊ»ýÀÛΪ½¹µã£¬Ðγɶà²ã±£»¤£¬ÑÓ»º¹âϵͳºÍ¹âºÏ»ú¹¹µÄËðÉË£»¶øËæ×ŸɺµÒ»Á¬£¬PSII ·ºÆð²»¿ÉÄæËðÉË£¬Éú³¤ÍêÈ«Õϰ­ÒÔÖÂéæÃü¡£ÔÚÖÖÔ´²î±ð·½Ã棬P1 ÔÚ¹âϵͳÎȹÌÐÔÉÏÌåÏÖ¸üΪÎȽ¡£¬P2 Ôò¶Ô¸Éºµ¸üΪÃô¸Ð¡£

Z6¡¤×ðÁú¿­Ê±¡¸Öйú¡¹¹Ù·½ÍøÕ¾

¸Éºµ´¦Öóͷ£³õÆÚ£¨×óͼ£¬Day 0£©ºÍ´¦Öóͷ£Ä©ÆÚ£¨ÓÒͼ£¬Day 21£©µÄÒ¶ÂÌËØÓ«¹â²ÎÊýFv/Fm³ÉÏñͼ

Z6¡¤×ðÁú¿­Ê±¡¸Öйú¡¹¹Ù·½ÍøÕ¾

×óͼ£ºÐÎ̬Êý¾Ý¶¯Ì¬ÇúÏߣ»ÖÐͼ£»Ò¶ÂÌËØÓ«¹â¶¯Ì¬ÇúÏߣ»ÓÒͼ£º¸ß¹âÆ×Ö²±»Ö¸Êý¶¯Ì¬ÇúÏß

  1. ³àËÉÓ×Ãç¸Éºµ-¸´Ë®Àú³ÌµÄ¸ßͨÁ¿±íÐͳÉÏñÆÀ¹À

  ½Ý¿ËÉúÃü¿ÆÑ§´óѧÒÔÅ·ÖÞÆÕ±éÂþÑܵÄÅ·ÖÞ³àËÉ£¨Pinus sylvestris L.£©Îª¹¤¾ß£¬ÔÚÎÂÊÒ¿ØÖÆÌõ¼þÏÂÄ£Äâ¸ÉºµÓ븴ˮÀú³Ì£¬ÍŽá¸ßͨÁ¿±íÐÍÆÊÎö£¨HTPP£©ÓëSNP»ùÒò·ÖÐÍϵͳÆÊÎöÁËÀ´×Խݿ˾³ÄÚÈý¸ö²î±ðº£°Î£¨µÍµØ¡¢ÖÐɽµØ£©ÖÖԴʵÉúÃçµÄ±íÐÍÓëÒÅ´«Ó¦´ð£¬Ì½ÌÖÁËÆäÄͺµÐÔ²î±ð¼°ÒÅ´«»ù´¡¡£

  Ñо¿ÖÐʹÓÃPlantScreen´«ËÍ´øÊ½±íÐͳÉÏñÆÊÎöϵͳ¶ÔÕû¸öÀú³Ì¾ÙÐÐÁ˸ßʱ¼äÇø·ÖÂʵıíÐÍÒ»Á¬ÕÉÁ¿£¬°üÀ¨£º

  • Ò¶ÂÌËØÓ«¹â³ÉÏñ£ºÕÉÁ¿ÎÈ̬Á¿×Ó²ú¶î£¨QY Lss£©¡¢×î´ó×Ú×Ó²ú¶î£¨QY max£©¡¢ÎÈ̬·Ç¹â»¯Ñ§â§Ãð£¨NPQ Lss£©¡£
  • ¶à¹âÆ×Ó«¹â³ÉÏñ£ºÅÌËã¼òÆÓÓ«¹â±È£¨SFR_R£©×÷ΪҶÂÌËØº¬Á¿Ô¤¼Æ¡£
  • ÈȳÉÏñ£º¼Í¼ÕëÒ¶Óë¿ÕÆøÎ²ΔT£©·´Ó¦ÕôÌÚ½µÎÂÄÜÁ¦¡£

Z6¡¤×ðÁú¿­Ê±¡¸Öйú¡¹¹Ù·½ÍøÕ¾

×óͼ£ºÊµÑé×¼±¸ÓëÉè¼ÆÊ¾Òâͼ£»ÓÒͼ£ºÑо¿Ö°Ô±ÔÚPlantScreen´«ËÍ´øÊ½±íÐͳÉÏñÆÊÎöϵͳÉϾÙÐÐÑùÆ·×¼±¸ÊÂÇé

  Ч¹ûÅú×¢£¬Ò¶ÂÌËØÓ«¹â²ÎÊýÔڸɺµ´¦Öóͷ£ºó¶¼»áÏÔÖøµÍÓÚ±ÈÕÕ×飬¶øÔÚ¸´Ë®ºóÔòÓÐËù»Ö¸´¡£SFR_RÔڸɺµ´¦Öóͷ£ºó13Ìì¼´·ºÆðÏÔÖø²î±ð£¬Åú×¢Ò¶ÂÌËØº¬Á¿»òÐÂËÉÕë·¢ÓýÊܵ½Ó°Ï죻¸´Ë®ºó¸Éºµ×éÖµÈÔµÍÓÚ±ÈÕÕ¡£¸Éºµ×éΔTβîÏÔÖøÔö´ó£¬·´Ó¦ÕôÌÚ½µÎÂÄÜÁ¦Ï½µ£»¸´Ë®ºóβîÈÔ¸ßÓÚ±ÈÕÕ£¬µ«Õâ¿ÉÄܲ¿·Ö¹éÒòÓÚ¸ßÎÂÌìÆø¡£

Z6¡¤×ðÁú¿­Ê±¡¸Öйú¡¹¹Ù·½ÍøÕ¾

5ÏîÖ÷Òª±íÐÍÊý¾ÝµÄ¶¯Ì¬×ª±äÇúÏß

  ×ÛºÏÀ´¿´£¬Å·ÖÞ³àËÉÔÚÁè¼ÝÒ»¸öÔµÄÁã¿ÉÓÃË®Ìõ¼þÏÂÈÔÄÜ´æ»î£¬ÏÔʾ½ÏÇ¿µÄÎïÖÖˮƽÄͺµÐÔ¡£²î±ðÖÖÔ´ÔÚÐÄÀí±íÐÍ·´Ó¦ËÙÂʺÍˮƽÉϵIJî±ð£¬ÌåÏÖÁËÍâµØË³Ó¦ÔÚÄͺµÐÔÖеÄ×÷Ó᣸÷Ïî±íÐͲÎÊý£¨ÓÈÆäÊÇQY max¡¢QY Lss¡¢SFR_R¡¢ΔT£©¾ßÓнϸßÒÅ´«Á¦£¬¿ÉÓÃÓÚÃçÆÚ·ÇÆÆËðÐÔÄͺµÐÔɸѡ¡£ÕâһЧ¹ûΪÌìÆø×ª±äÅä¾°ÏÂÅ·ÖÞ³àËɵÄÖÖÔ´Ñ¡Ôñ¡¢¸¨ÖúǨáãºÍÉ­ÁÖ»Ö¸´ÌṩÁËÀíÂÛ»ù´¡Óëʵ¼ù¹¤¾ß¡£

²Î¿¼ÎÄÏ×£º

  1. Ahmad M, et al. Drought stress responses deconstructed: A comprehensive approach for Norway spruce seedlings using high-throughput phenotyping with integrated metabolomics and transcriptomics. Plant Phenomics, 2025, 7.2: 100037.
  2. Neuwirthová E, et al. Drought Response and Genetic Variation in Scots Pine Seedlings' Provenances: Insights From High©\Throughput Phenotyping for Climate©\Resilient Forestry. Evolutionary Applications, 2025, 18.10: e70157.

±±¾©Z6×ðÁú¿­Ê±Éú̬ÊÖÒÕ¹«Ë¾ÌṩÖÖÖÊ×ÊÔ´±íÐÍÆÊÎöÊÖÒÕÖÜÈ«½â¾ö¼Æ»®²¢ÌṩÏà¹Ø²Î¿¼ÎÄÏ×£º

  • PlantScreenÖ²Îï¸ßͨÁ¿±íÐͳÉÏñÆÊÎöϵͳ£¬Óд«ËÍ´ø°æ¡¢XYZ°æ¡¢PlantScreen SC¡¢¸ùϵ±íÐÍÆÊÎöµÈ²î±ð¹¦Ð§¹æ¸ñ¹©Ñ¡Åä

Z6¡¤×ðÁú¿­Ê±¡¸Öйú¡¹¹Ù·½ÍøÕ¾

×óͼ£ººÉÀ¼ÍߺÕÄþ¸ù´óѧװ±¸µÄPlantScreen´«ËÍ´øÊ½Ö²Îï±íÐͳÉÏñÆÊÎöϵͳºÍPlantScreen XYZ ÈýάɨÃèÖ²Îï±íÐͳÉÏñÆÊÎöϵͳ

  • FluorCamÒ¶ÂÌËØÓ«¹â³ÉÏñϵͳÓëFluorCam¶à¹âÆ×Ó«¹â³ÉÏñϵͳ£¬Óм¸Ç§Æª¹ú¼Ê¿ÆÑÐÎÄÏ׿ɹ©²Î¿¼

Z6¡¤×ðÁú¿­Ê±¡¸Öйú¡¹¹Ù·½ÍøÕ¾

×óͼ£ºÐÂÒ»´úFluorCam1300¶àÒý·¢¹â¶à¹âÆ×Ó«¹â³ÉÏñϵͳ£»ÓÒ£ºÊ¹ÓÃFluorCamÒ¶ÂÌËØÓ«¹â³ÉÏñÊÖÒÕÕÉÁ¿·¬ÇÑÖÖ×ÓÃÈ·¢Âʲ¢ÆÀ¹ÀÖÖÃç»îÁ¦

 

- ·µ»ØÁбí -
¿´²»Ç壿»»Ò»ÕÅ
{{isLoading?'ÉúÑÄÖÐ':'ÉúÑÄ'}}
Z6¡¤×ðÁú¿­Ê±¡¸Öйú¡¹¹Ù·½ÍøÕ¾

Î÷°²Ñз¢ÖÐÐÄ

΢ÐŹ«ÖÚºÅ

Z6¡¤×ðÁú¿­Ê±¡¸Öйú¡¹¹Ù·½ÍøÕ¾

ÓªÒµ×Éѯ

΢ÐźÅ

Z6¡¤×ðÁú¿­Ê±¡¸Öйú¡¹¹Ù·½ÍøÕ¾

Z6×ðÁú¿­Ê±¹«Ë¾

΢ÐŹ«ÖÚºÅ

Z6¡¤×ðÁú¿­Ê±¡¸Öйú¡¹¹Ù·½ÍøÕ¾

Z6×ðÁú¿­Ê±¹«Ë¾

ÊÓÆµºÅ

ÁªÏµZ6×ðÁú¿­Ê±£º

µØµã: ±±¾©Êк£µíÇø¸ßÀïÕÆÂ·3ºÅÔº6ºÅÂ¥1µ¥Î»101B

µç»°: 010-82611269/1572

ÊÖ»ú: 13671083121

´«Õæ: 010-62465844

Email: info@eco-tech.com.cn

ÓÑÇéÁ´½Ó£º

X
1

QQÉèÖÃ

  • ¿Í·þ
5

µç»°ºÅÂëÖÎÀí

  • ±±¾© 010-82611269 13671083121
6

¶þάÂëÖÎÀí

Z6¡¤×ðÁú¿­Ê±¡¸Öйú¡¹¹Ù·½ÍøÕ¾
ÍøÕ¾µØÍ¼